Download Blue Prism Developer.AD01.ExamTopics.2025-10-07.104q.vcex

Vendor: Blue Prism
Exam Code: AD01
Exam Name: Blue Prism Developer
Date: Oct 07, 2025
File Size: 7 MB

How to open VCEX files?

Files with VCEX extension can be opened by ProfExam Simulator.

ProfExam Discount

Demo Questions

Question 1
Study the following Process flow:
The Process flow is intended to test the value of the Input data item to determine if it falls within a range of numbers, and then assign a value as an output. The number ranges are defined as between 1 to 100, between 101 to 200, and anything outside these ranges.
The Calculation stages will set the value of the Result data item to 1, 2 or 3.
To enable the Process flow to work correctly, what is the correct expression for the Choice stage branch named ‘Between 1 and 100’?
  1. [Input] >= 1 AND [Input] <= 100
  2. [Input] >= 1 AND <= 100
  3. [Input] >= ‘1’ AND [Input] <= ‘100’
  4. [Input] >= 1 [Input] < 100
  5. [Input] BETWEEN 1 AND 100
Correct answer: B
Explanation:
A: 1 - Mosted
A: 1 - Mosted
Question 2
Examine the following Page of a Blue Prism Process:
The expressions of each of the Calculation stages are provided below:
What will the value of the Result Data Item be after the page has run?
  1. Result Data Item value will equal A
  2. An Internal Exception will be thrown
  3. Result Data Item value will equal C
  4. Result Data Item value will equal B
Correct answer: A
Explanation:
B: 1 - Mosted
B: 1 - Mosted
Question 3
How would you run a Blue Prism Process on a virtual Digital Worker?
  1. Through Control Room
  2. Through the Digital Worker Management Console
  3. Through System Manager
  4. Through Process Studio
  5. Through Object Studio
Correct answer: D
Explanation:
A: 1 - Mosted
A: 1 - Mosted
Question 4
Examine the following Blue Prism Process diagram:
The initial values for the 3 data items are displayed in the diagram above.
The expression in ‘Decision A’ is:
The expression in ‘Decision B’ is:
The expression in ‘Decision C’ is:
What will happen when the process flow executes?
  1. The diagram will flow through the Calculation stage named ‘A’
  2. The diagram will flow through the Calculation stage named ‘B’
  3. From the information available, the outcome is unknown
  4. The diagram will flow through the Calculation stage named ‘C’
Correct answer: D
Explanation:
B: 1 - Mosted
B: 1 - Mosted
Question 5
Examine the following Process flow, which calculates the total number of orders:
The ‘Orders’ Collection contains the following data:
The ‘Loop Orders’ loop is configured to loop through the ‘Orders’ Collection.
The ‘Total Orders’ data item is configured as a number data item with an initial value of 0.
The ‘Get Total Orders’ Calculation stage contains the following expression:
What will the Total Orders data item value be after the page has executed?
  1. 0
  2. 11
  3. 10
  4. 44
Correct answer: D
Explanation:
D: 1 - Mosted
D: 1 - Mosted
Question 6
An Action in a Business Object needs to use Global Send Keys to populate the ‘Staff Number’ field in an application called Centrix Data Solutions. The application is in focus and the cursor is placed in the Staff Number field.
Examine the stage properties window below:
In order to configure a Global Send Keys action to populate the Staff Number field, which element in the Application Explorer tree displayed above, would you drag to the Element column in the stage, so that this operation can be complete?
  1. Textbox: Staff Number
  2. Window: Login
  3. Panel: Login Details
  4. Centrix Data Solutions
Correct answer: A
Explanation:
D: 1 - Mosted
D: 1 - Mosted
Question 7
Examine the following sub-page of a Blue Prism Process:
The ‘Decision A’ stage properties window is displayed below:
The ‘Decision B’ stage properties window is displayed below:
The Calculation stages will output A, B or C to the Result data item.
What will the value of the Result data item be after this page has been run?
  1. C
  2. B
  3. Blank – an internal exception will be thrown
  4. A
Correct answer: D
Explanation:
A: 2C: 2 - Mosted
A: 2C: 2 - Mosted
Question 8
Examine the following extract taken from an Action in Object Studio:
What will happen if an Exception occurs in the ‘Read Nasdaq Data’ stage?
  1. The ‘Nasdaq Error1’ Recover stage will receive Error1 Exceptions, and the ‘Nasdaq Error2’ Recover stage will receive Error2 Exceptions
  2. The ‘Nasdaq Error1’ Recover stage will receive the Exception as stages and the order of priority are decided using the stage name, which are sorted in ascending order
  3. An Exception Block will allow multiple Recover stages to be placed in the block, however only one of them will be responsive to receiving exceptions, therefore it is impossible to predict what will happen
  4. The ‘Nasdaq Error2’ Recover stage will receive the Exception as it placed above the ‘Nasdaq1 Error’ Recover stage in the Action flow
  5. An Internal Exception will be thrown as an Exception Block cannot contain 2 blocks
Correct answer: A
Explanation:
C: 1 - Mosted
C: 1 - Mosted
Question 9
Examine the following Process flow:
The ‘Loop Customer List’ loop is configured to loop through the ‘Customer List’ Collection.
Any Exceptions Encountered on the ‘Email Customers’ sub-page will be resolved in the same page.
How many times will the ‘Email Customer’ sub-page be executed?
  1. It’s impossible to say without viewing the ‘Email Customer’ sub-page
  2. The loop will be infinite
  3. 0
  4. 25
  5. 1
Correct answer: E
Explanation:
D: 1 - Mosted
D: 1 - Mosted
Question 10
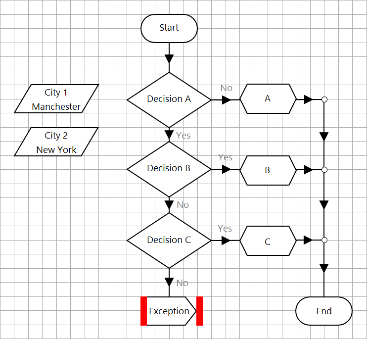
Examine the following Blue Prism Process diagram:
The initial values for the 2 data items are displayed in the diagram above.
The expression in ‘Decision A’ is:
The expression in ‘Decision B’ is:
The expression in ‘Decision C’ is:
What will happen when the process flow executes?
  1. The diagram will flow through the Calculation stage named ‘A’
  2. The diagram will flow through the Calculation stage named ‘B’
  3. The diagram will flow to the Exception stage which will raise a new exception
  4. The diagram will flow through the Calculation stage named ‘C’
Correct answer: C
Explanation:
A: 1C: 3 - Mosted
A: 1C: 3 - Mosted
Question 11
Which area of Blue Prism would you find application logic and rules?
  1. Application Modeller
  2. Object Studio
  3. Process Studio
  4. Application Logic area of System Manager
Correct answer: A
Explanation:
C: 1 - Mosted
C: 1 - Mosted
HOW TO OPEN VCE FILES

Use VCE Exam Simulator to open VCE files
Avanaset

HOW TO OPEN VCEX AND EXAM FILES

Use ProfExam Simulator to open VCEX and EXAM files
ProfExam Screen

ProfExam
ProfExam at a 20% markdown

You have the opportunity to purchase ProfExam at a 20% reduced price

Get Now!